ギヤー式老化試験機(強制循環形熱老化試験機)とは、試験片を加熱して劣化を促進し、プラスチックやゴムなどの高分子系材料の熱老化性を評価する試験機です。高分子系材料が劣化する第一の原因は、熱にさらされることです。しかし、テレビやパソコンなどの電気製品や、自動車などの機械製品は、動作中に熱が発生するものが多いです。熱により劣化が発生すると、製品の安全性が損なわれる可能性があります。そのため、各材料の熱老化性を評価する必要があるのです。
試験概要
試験温度に設定した槽内に試験片をつるし、規定時間熱にさらして劣化を促進します。その後、目視判定や物理的特性の測定(引張試験など)を行い、熱老化特性を評価します。
装置

試験機は、試験槽内の空気を強制的に循環させる「強制循環式」の加熱槽を使用します。試験槽、循環装置、空気置換装置、温度調節装置、試験片取付装置によって構成されます。
試験槽
加熱空気の循環を妨げない試験片取付枠(または網棚)を内部に備え、断熱材によって試験槽の保温と外気を遮断できる構造のもの。試料取付枠
毎分5〜10回転の1軸式の回転枠。

性能
それぞれの規格に下記の通り規定されています。
規格 | B 7757 | K 6257 | K 7212 | ||||
---|---|---|---|---|---|---|---|
種類 | Ⅰ形 | Ⅱ形 | Ⅲ形 | 横風式 | 縦風式 | A形 | B形 |
タイプ | JISタイプ | ULタイプ | – | – | – | – | |
空気置換率(回/時間) | 3〜10 | 5〜20 | 100〜200 | 3〜10 | 3〜10 | 1分間に1回以上 | 3〜10 |
平均風速(m/s) | 0.5±0.1 | – | – | 0.5±0.1 | 0.5〜1.5 | 1±0.2 | 0.5±0.1 |
時定数 | – | 660以下 | 660以下 | – | – | – | – |
比熱(J/g•k) | 1.003 | 1.003 | 1.003 | 1.006 | 1.006 | 1.003 | 1.003 |
温度設定可能範囲 | 周辺温度+20℃及び300℃ | – | – | – | 周辺温度+20℃から300℃ | ||
温度調節精度 | 設定温度±1℃ | – | – | 〜100℃:±1℃ 125〜300℃:±2℃ |
設定温度±1℃ |
温度分布
温度分布は、規格で規定された9か所の最高温度と最低温度の差で表します。
温度設定範囲に応じて下記の表の通りとします。
試験温度 T(℃) | 温度分布(℃) |
---|---|
T ≦ 100 | 2以内 |
100 < T ≦ 200 | 4以内 |
200 < T ≦ 300 | 6以内 |
測定方法

試験槽の各壁から内側に70㎜離れた平面で構成される立方体の頂点の8か所および試験槽の中心の合計9か所で行う。温度が十分安定してから9か所の温度を24時間測定し、最高温度と最低温度の差を求める。24時間中の周辺温度の変動は設定温度±10℃以内かつ設定温度±5%以内でなければならない。
※単純な「オーブン」はこれを満たしていないものが多く、規格に沿った試験を行いたい場合は注意が必要です。
試験条件
試験条件は試験片の種類によるとされています。
また、それぞれの規格で下記のように記載されています。
K 6257(ゴム)
ゴムの種類によって決まる。K 6250に規定する時間及び温度の中から選択する。K 7212(プラスチック)
劣化が適切な試験期間に発生するような温度
※試験時間の明記はされていません。
試験の種類(K 6257 ゴム)
試験の種類は促進老化試験 At法、熱抵抗試験 Hr法の2つです。
促進老化試験
短時間で自然老化の効果を再現するために、実際の使用条件下より高い温度で試験を行います。熱抵抗試験
実際の使用条件下で遭遇する温度と同じ温度で試験を行います。
評価方法について
ゴムの場合
試験片を老化した後、物理的特性を測定します。その後、老化前の値に対する変化を求め、熱老化特性を調べます。
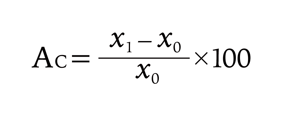
硬さを除く物理的特性の変化率は次の式によって求められます。

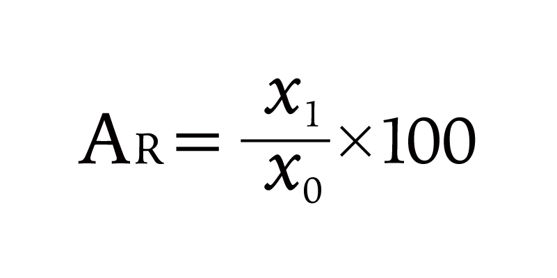
保持率は次の式によって算出します。

AC:老化前の物理的特性に対する老化後の変化率
AR:老化前の物理的特性に対する老化後の保持率
X0:老化前の物理特性の中央値
X1:老化後の物理特性の中央値
硬さの場合は次の式によって算出します。

AH:硬さの変化
H0:老化前の硬さの中央値
H1:老化後の硬さの中央値
AC:老化前の物理的特性に対する老化後の変化率
AR:老化前の物理的特性に対する老化後の保持率
X0:老化前の物理特性の中央値
X1:老化後の物理特性の中央値
AH:硬さの変化
H0:老化前の硬さの中央値
H1:老化後の硬さの中央値
プラスチックの場合
JIS K 7212では、結果の判定は、「所定時間経過後の試験片の特性変化の程度、または特性が所定の値に到達する時間によって行う」と記載されています。
劣化の判定基準は当事者間によりますが、劣化の判定基準は次の方法で行うことが多いです。
- 目視観察(試験片に粉化、割れ、ひび、変形などの発生)
- 質量の変化
- 引張試験、曲げ試験などの性能の低下
- 退色など光学的性能の低下
- 絶縁耐力、絶縁抵抗など、電気的抵抗性能の低下
空気置換率について
空気置換率とは、1時間当たりの空気の置換回数で表し、試験槽への送入空気流量と試験槽の容積から求めます。測定方法は、空気流量を間接的に測定する「消費電力法」と直接測定する「流量計法」があります。ここでは、一般的に使用される「消費電力法」について紹介します。
消費電力法
消費電力量法は、「空気の出入口を閉じて所定温度に保持するのに必要な電力量」と「空気の出入口を開いた場合に同じ温度に保持するのに必要な電力量」との差を測定し、置換された空気量を算出することができます。
【測定方法】
- 導入口や排気口、扉を閉じ、その隙間を粘着テープなどで密封。試験槽内の空気を外部から完全に遮断する。
- ファンを始動させ、槽内を周辺温度+80±2℃まで昇温
- 温度が安定した後(約3時間後)、少なくとも30分間消費電力量を測定
- 導入口や排気口を開け、換気中の消費電力を求める
空気置換率は下記の式で算出します。


ただし、JIS K 6257の場合は下記の計算式で算出します。


プラスチックの規格(K 7212)とゴムの規格(K 6257)では、定圧比熱や消費電力の単位が違うたえめ、空気置換率の計算式が異なる
UL規格とは?
UL746Bは長期的耐熱性に関するUL規格です。プラスチックが長い時間、高い気温にさらされた際の耐熱性のことを「長期的耐熱性」といいます。熱による劣化・分解によって、プラスチックがもつ各物性値の低下が引き起こされます。この長期耐熱性の指標としては、UL746Bの相対温度指数(RTI)が用いられることが多く、長期間、高温環境下にさらした後に引張強度、衝撃強度、電気絶縁性についてそれぞれ評価が行われます。
材料が長期間高温度にさらされた場合、ある程度の特性(物理的、電気的など)を保ち続ける能力についての指標。熱耐久性の尺度にもなる。プラスチックを大気中に規定時間さらした際に、初期の物性が50%以下に低下するときの温度を指します。
※弊社のNo.102 ギヤー老化試験機はこの規格に対応しています。
規格の詳細について
UL746Bでは、試験方法はASTM5374-93を、装置はASTM 5423-93のType1の標準仕様に適応していなければならないとの記載があります。
【空気置換率】
各規格における空気置換率の表記は以下の通りです。
-
◆ASTM5423-93
100℃または使用最高温度の時、Type1オーブンは5〜20回/h、Type2オーブンは100〜200回/hにする必要がある。 -
◆ASTM5374-93
100±2℃と使用最高温度にて空気置換率を測定する。
通常、試験は温度4点で行います。温度は、エンドポイント※が最高温度で500時間以上、最低温度で5000時間以上になるよう設定し、試験結果からRTIを求めます。
※エンドポイント:物性が50%以下に低下するときの時間
長期的耐熱性とは反対に、短期的耐熱性という指標があります。長期的耐熱性がプラスチックに外力が加わらない状態での長期的な安定性を示す物性に対して、短期的耐熱性は高温環境下でかつ加重などの負荷を与えた状態での、変形・破壊が生じる温度のことです。
※荷重たわみ温度(HDT:Heat deflection temperature)を参考にすることができます。短期的耐熱性の評価には、安田精機のNo.148-HD ヒートデストーションテスターのページをご覧ください。
規格一覧表
熱老化試験の規格は、JIS(ISO)とASTM両方に存在し、それぞれに試験方法が規格化されています。
規格 | 年数 | 対象 | 規格名 | |
---|---|---|---|---|
JIS | B 7757 | 1955 | 装置 | 強制循環式空気加熱老化試験機 |
K 6257 | 2017 | ゴム | 加硫ゴム及び熱可塑性ゴム — 熱老化特性の求め方 | |
K 7212 | 1999 | プラスチック | プラスチック — 熱可塑性プラスチックの熱安定性試験方法 — オーブン法 | |
C 3005 | 2014 | 電線 | ゴム・プラスチック絶縁電線試験方法 | |
ISO | 188 | 2023 | ゴム | Rubber, vulcanized or thermoplastic — Accelerated ageing and heat resistance tests |
4577 | 2019 | プラスチック | Plastics — Polypropylene and propylene — copolymers — Determination of thermal oxidative stability in air — Oven method |
|
ASTM | E145 | 2019 | 装置 | Standard Specification for Gravity – Convection and Forced – Ventilation Ovens |
D5423 | 2023 | 絶縁 | Standard Specification for Forced – Convection Laboratory Ovens for Evaluation of Electrical Insulution | |
D5374 | 2012 | 絶縁 | Standard Specification for Forced – Convection Laboratory Ovens for Evaluation of Electrical Insulution | |
UL | 746B | 2013 | – | 高分子材料 – 長期的特性評価(第4版) |
IEC | 60216-4-1 | 絶縁 | Electrical insulating materials — Thermal endurance properties — Part 4-1:Ageing ovens — Single – chamber ovens Reference |
安田精機の試験機:No.102, 103 ギヤー式老化試験機
熱老化特性の測定はNo.102 ギヤー式老化試験機にて行うことができます。
関連製品
参考規格
- JIS B 7757 (1955)強制循環式空気加熱老化試験機
- JIS K 6257 2017 加硫ゴム及び熱可塑性ゴム-熱老化特性の求め方
- JIS K 7212 1999 プラスチック-熱可塑性プラスチックの熱安定性試験方法-オーブン法
- JIS C 3005 2014 ゴム・プラスチック絶縁電線試験方法
お問い合わせはこちら
65年以上の長きに亘り、産業分野に対し品質管理及び研究開発をサポートしてきた安田精機の試験機は、御社の多様なニーズにお応えいたします。